Skip to Content

BS16504

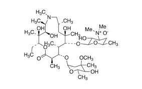
Azithromycin EP Impurity L.

CAS No.:
90503-06-3
MDL No.:
MFCD26142861.

Pack
Price
USD
Stock
Availability
1.00 mg
INR 3969
USD 46
0
10 to 15 Business Days
Specification Value
Synonym Name Azithromycin N-Oxide (USP); Azithromycin 3'-N-Oxide; (2R,3S,4R,5R,8R,10R,11R,12S,13S,14R)-13-[(2,6-Dideoxy-3-C-methyl-3-O-methyl-α-l-ribo-hexopyranosyl)oxy]-2-ethyl-3,4,10-trihydroxy-3,5,6,8,10,12,14-heptamethyl-11-[[3,4,6-trideoxy-3-(dimethylazinoyl)-β
Molecular Formula C38H72N2O13.
Molecular Weight 765
Solubility Soluble in chloroform.
Melting Point 174°C.
Purity ≥95%
Appearance White Solid.
API Name Azithromycin
Storage Store at 2-8°C Refrigerator.
Documents Data
Validity 3 years
    Document Download
    Sample COA No Document Available
    Product MSDS Product MSDS