Skip to Content

BS16496

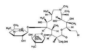
Azithromycin Impurity D.

CAS No.:
612069-26-8
MDL No.:
NA.

Pack
Price
USD
Stock
Availability
1.00 mg
INR 3969
USD 46
0
10 to 15 Business Days
Specification Value
Synonym Name 14-Demethyl-14-(hydroxymethyl)azithromycin.
Molecular Formula C38H72N2O13.
Molecular Weight 765
Solubility Soluble in DMSO.
Density 1.21 g/cm3.
Boiling Point 852.4 °C.
Purity ≥95%
Appearance white to off-white solid.
API Name Azithromycin.
Storage Store at 2-8°C Refrigerator.
Documents Data
Validity 3 years
    Document Download
    Sample COA No Document Available
    Product MSDS Product MSDS