Skip to Content

BS16669

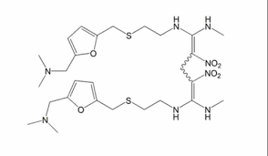
Ranitidine Impurity I.

CAS No.:
207592-21-0
MDL No.:
NA.

Pack
Price
USD
Stock
Availability
10.00 mg
25.00 mg
50.00 mg
100.00 mg
250.00 mg
INR 39699
INR 59499
INR 89199
INR 149499
INR 198999
USD 467
USD 699
USD 1049
USD 1758
USD 2341
0
0
0
0
0
10 to 15 Business Days
10 to 15 Business Days
10 to 15 Business Days
10 to 15 Business Days
10 to 15 Business Days
Specification Value
Synonym Name Ranitidine Formaldehyde Adduct ; 2,2′-Methylenebis[N-[2-[[[5-[(dimethylamino)methyl]furan-2-yl]methyl]sulfanyl]ethyl]-N′-methyl-2-nitroeth-1-ene-1,1-diamine.
Molecular Formula C27H44N8O6S2.
Molecular Weight 641
Solubility Soluble in methanol and DMSO.
Density 1.235 g/cm³.
Melting Point >47°C.
Purity ≥95%.
Appearance Brown Solid.
API Name Ranitidine.
Storage Store at 2-8°C Refrigerator.
Documents Data.
Validity 3 Years.
    Document Download
    Sample COA No Document Available
    Product MSDS Product MSDS